What Is Workflow Management?
The Importance of Workflow Management in Modern Businesses

In a nutshell, workflow management is a set of practices and methods for optimizing work processes. Its main goal is to solve specific problems through constant monitoring, documentation, and revision of previously adopted approaches. At the same time, the key tasks of workflow management are to improve the quality of results, reduce the risks associated with errors, boost your customers’ and employees’ satisfaction, and minimize the resources spent – in fact, this is where its business value becomes clear and essential.
In recent years, organizations have increasingly invested in introducing software tools to optimize their management workflow approaches. Evidence of this is the statistics provided by Research Reports World, which states that from 2021, the size of the global workflow management systems market will grow at a CAGR of 26.17 % and reach a record USD 58600.12 million by 2027. However, before implementing anything, it is essential to understand why it is needed, what exactly you need, and whether it is needed at all, right?
That’s why we decided to reveal in this article the main provisions of workflow management, consider various approaches to it, and also share the best management workflow practices. So, let’s get started.
Defining Workflow Management
First of all, let's take a look at the Workflow Management workflow diagram. At first glance it looks confusing and complicated, but it is only at first glance, in fact everything is quite simple, let's understand it!
![]()
If you feel that tracking the status of work processes in your company is often difficult, and control over them is insufficient, this is a good reason to think about implementing workflow management. In particular, if you or your employees regularly feel confused about what to do next – for example, answering incoming emails, calling customers, or discussing supply chains with partners, you definitely need it. Indeed, as your business scales, the list of such problems will accumulate, and at some point, it will become impossible to take control of the situation.
On the other hand, through the introduction of constant monitoring on your business operations, checking their performance, and optimization, you will be able to eliminate existing gaps and achieve better KPIs for all key directions of your business.
At the same time, one-time overcoming of existing problems is not the final point in improving your workflows because they undergo specific changes over time according to new market trends, audience needs, competitors’ strategies, and your scaling plan. What worked well to improve your business performance a year ago may become ineffective today. This means that constant efficiency analysis and adaptation to these external and internal changes are inevitable, too.
Optimize your Business Process on Latenode – the best automation platform for you
Types of Workflows Explained
Before moving on to the best practices of workflow management, let's consider the types of workflows. The generally accepted ones are parallel and sequential workflows:
Parallel
The first type involves the synchronous execution of separate parts of one global task by employees whose competencies do not overlap. In simple terms, while one of the cooks kneads the pizza dough, another can prepare the toppings, and a third can work on the sauce. As a result, such a workflow, having only one global goal – making pizza – is divided into subtasks that can be distributed among individual team members. Optimization of such a workflow is usually achieved by improving the quality of interaction between these members and simplifying the tasks assigned to each of them.
Sequential
The second type consists of dividing one global task into a chain of sequential subtasks with fixed timelines. Only one team member is also responsible for each task; however, each subsequent task can only start after the previous one is completed. If we look at this model of workflow organization using real-life examples, then baking bread is better suited here: first, one cook mixes the ingredients in the correct proportions, then another kneads the dough, a third forms a loaf of bread, and a fourth bakes it. Until a certain stage is successfully completed by one cook, other cooks will not be able to proceed to the next stages. In terms of possibilities for optimizing a sequential workflow, this can be achieved by expanding the competence of each team member (so that each of them can help the other or completely replace him or her in case of delay).
| Type | Parallel | Sequential |
|---|---|---|
| Number of tasks | >1 | 1 |
| Time savings | Due to the synchronous execution of tasks within one time period, work is accelerated | Due to the inability to start a new task until the previous one is completed, this approach may require more time |
| Overcoming problems within the process | Errors made in one task usually do not greatly affect the quality of other tasks | Making errors can significantly delay the process completion date |
| Possibility of adoption | Some processes cannot be divided into disjoint subtasks | This approach is suitable for almost any organization |
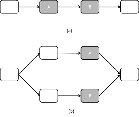
If you would like even more examples, you can check the image below – it perfectly depicts the difference between the two types of workflow described above.
![]()
A more complex variation of a sequential workflow is a rules-driven one. It determines actions at each new stage depending on the results of the previous one.
![]()
For example, in making bread, if the dough has not sufficiently risen during the kneading stage, the cook responsible for this stage can take on the responsibilities of the one who performed the previous stage – in particular, prepare a new yeast mixture and add it to the previously prepared dough.
When choosing a specific type of workflow, you need to rely primarily on the competence of each of your team members. If they are all multi-purpose, you can choose a sequential type. This will make it easier to quickly identify and fix gaps in your processes. Still, it will also take more time to complete the task. On the other hand, a parallelizing approach can increase your team’s productivity. However, not all global tasks can be divided into disjoint subtasks.
Components of Efficient Workflows
In this paragraph, we will consider the key management workflow components. Knowing them and understanding why they are needed will help you make more informed decisions about management optimization.
- Input. These are all data sources and the data itself needed to launch a certain process. They must be relevant, well-structured, and capable of supporting consolidation where necessary.
- Output. These are the data/results obtained after the completion of a particular process. These could be your company's services or the products it manufactures. This component’s optimization is achieved through developing quality standards and aligning them with your company's specific goals.
- Transformation. These are the actions taken to convert an input component into an output component. To optimize them, you need to choose the right type of workflow or effectively combine multiple types if possible.
- Stakeholders. These are the people taking part in the transformation – that is, your company's employees, partners, customers, and so on. The interactions and communication between them must be streamlined, seamless, and transparent.
- Steps. The steps make up the aforementioned transformation itself. Essentially, this means breaking the transformation into sequential or synchronous subtasks. Your stakeholders' performance will depend on the correct choice of this breakage.
- Rules and conditions. These are additional aspects that influence the scenarios that stakeholders adhere to. They must be clearly documented and without uncertainties.
- Triggers. For each of aforementioned management workflow components, you can introduce its individual list of triggers, determining under what conditions input data will be used, which stakeholders will be involved, what transformation and its steps/rules will be selected, and what results will be obtained.
The main components are clear, but they look quite disjointed from each other, don't they? A natural way to unite them would be to introduce solutions that can consolidate them all, such as Latenode.
Latenode - The Best Workflow Management Software
Automate your business now with Latenode - The best automation platform.
Latenode is a low-code integration platform aimed at workflow automatization. Using it, you can create and streamline processes between any tools and services through API.
For example, you can combine a CRM system, email newsletter service, business messengers, a project management system, databases, and much more that is included in your company’s IT infrastructure. Thus, you will simplify the work for your employees and smoothly guide them through their tasks, taking into account external factors that may influence the final result.
Just look how it works:
![]()
Create scenarios of any complexity, with any triggers, the result in any case will be as you wish – without delays, errors, and inconsistencies. You can learn more about features of this advanced tool here.
Benefits of Implementing Workflow Management
We have already briefly talked about the advantages of workflow management. In this paragraph, let’s reveal them in more detail to understand whether there is an urgent need for your business.
- Accelerated provision of products/services to consumers. Due to streamlined work operations, your services and products will reach end consumers faster than ever before.
- Cost reduction. Implementing business process management solutions will reduce the risks associated with downtime. Thus, your goods/services will appear on the market earlier than your competitors’ ones.
- Fewer errors. The number of errors caused by human factors can be reduced through business process documentation.
- Improved quality of services/products provided by your company. Standardizing work scenarios allows you to hone the practices used by your employees, which will ultimately positively impact the quality of your products/services.
- Increased stakeholders' satisfaction. Since after management workflow optimization, products/services usually get higher quality and are delivered faster, the satisfaction of all participants in the process also increases – both for end consumers and the company’s employees/partners, who have to deal less frequently with routine, repetitive, and resource-intensive tasks.
Best Practices in Workflow Management
But how to manage workflow effectively – you may ask. To understand it, let’s check the best practices in workflow management. We have already talked above about the importance of automation, which is achievable through the implementation of specialized software solutions like Latenode.
However, it is also essential to adhere to the basic principles of your workflow management process:
- Constantly analyze the productivity and efficiency of work processes, as well as evaluate the number of errors in them and their significance;
- Fix identified gaps as they are discovered and review previously adopted practices and tools;
- Expand the competence of your employees and increase their awareness of work process management practices;
- Introduce transparent and unambiguous indicators (metrics) to assess the optimization measures aimed at efficient work flow management;
- Improve the quality of each component in workflow processes;
- Develop standards that determine the quality of your company's final product/service.
Conclusion
We hope that we have helped you determine how important workflow management is to your company. Also, we provided insights that you can use as a starting point to achieve optimization in your business operations.
![]()
At the same time, you may achieve even better results faster by introducing the Latenode app, one of the best workflow systems ever. With its powerful visualization capabilities (this is a no-code solution), ease of integration, and automatic error handling, this process workflow management tool will ensure seamless interaction between the services and applications that you and your employees use to perform their regular tasks. Register on Latenode and get the opportunity to experience the benefits of this workflow system for free.
Optimize your Business Process on Latenode – the best automation platform for you
FAQ
What is workflow management?
Workflow and process management is the set of rules, best practices, and approaches aimed at solving typical problems most organizations usually face, such as the presence of errors in work operations, insufficient team productivity, and high costs of completing work tasks. To manage workflows effectively, you should consider the introduction of automation tools, the implementation of performance metrics and quality standards, and continuous improvement and optimization based on the resulting analytics.
What are the two main types of a workflow process?
The two main types of a workflow process are parallel (whereby team members can complete their tasks synchronously with each other) and sequential (where none of the team members can begin their work until the previous stage is completed).
What is a workflow management system?
A workflow management system is a digital solution aimed at automating specific business operations and consolidating data and resources that take part in these operations. If you are considering implementing such a system into your IT infrastructure, please check the Latenode application.



